Discussions
Select Date
Tags:
OJASWI KOTHARI

· started a discussion

· 1 Months ago

how?

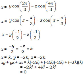
Question:

If x = y cos  2π3    = z cos 4π3   , then what is xy + yz + zx equal to?  

Options:
A)

–1

B)

0

C)

1

D)

2

Solution:

Ans: (b)


All Rights Reserved Top Rankers