Discussions
Select Date
Tags:
Shiladitya Ukil

· started a discussion

· 1 Months ago

why do you provide wrong data?

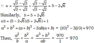
Question:
If \(a=\cfrac{\sqrt{3}-\sqrt{2}}{\sqrt{3}+\sqrt{2}}\)   and \(b=\cfrac{\sqrt{3}+\sqrt{2}}{\sqrt{3}-\sqrt{2}}\)  , then \(\cfrac{a^2}{b}+\cfrac{b^2}{a}\)  = ?
Options:
A) 1030
B) 970
C) 1025
D) 930
Solution:
Ans: (b)


All Rights Reserved Top Rankers