Discussions
Select Date
Tags:
Sanjukta

· started a discussion

· 1 Months ago

Question:
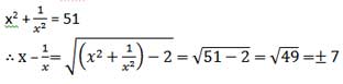
If x2 + \(\cfrac{1}{x^2}\) = 51, then the value of x – \(\cfrac{1}{x}\) will be:
Options:
A) +7 
B) -7
C) ±7
D) ±9
Solution:

For Video Solution Click on the link given below:

All Rights Reserved Top Rankers