Discussions
Select Date
Tags:
Naveen Sharma

· started a discussion

· 1 Months ago

could understand the given solution

Question:

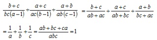
If  bc + ab + ca = abc, then the value of \(\cfrac{b+c}{bc(a-1)}+\cfrac{a+c}{ac(b-1)}+\cfrac{a+b}{ab(c-1)}\) is:

Options:
A) 1
B) 0
C) \(-\cfrac{1}{2}\)
D) \(-\cfrac{3}{2}\)
Solution:
Ans: (a)

ab + bc + ca = abc       [Given]



All Rights Reserved Top Rankers