Discussions
Select Date
Tags:
Arpit Verma

· started a discussion

· 1 Months ago

sir in hindi language question is wrongly printed

Question:
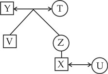
In a family of six members T, U, V, X, Y and Z, Y is the father of V. X is Ts only grand-child. T has two children: Z and V, one of them is a boy and the other is girl. V is Xs only uncle. U is Zs daughter-in-law. How is Y related to X?
Options:
A) Brother.
B) Grand-father.
C) Father.
D) Son.
Solution:

Ans: (b)

T has two children Z and V. Y is father of V. Therefore, T is mother and Y is father of Z and V. V is Xs only uncle. So, V is a male and Z is a female. X is Ts only grandchild. Therefore, X is child of Z (as V is uncle of Z). Therefore, U is wife of X and X is son of Z as U is Zs daughter-in-law.


Thus, we can have the following diagram.




Thus, Y is the grand-father of X.

Knowledge Expert

· commented

· 1 Months ago

Dear student,
Your issue has been solved , please reattempt the question.
Keep learning,
Team TR

All Rights Reserved Top Rankers