Discussions
Select Date
Tags:
ABHISHEK PANDEY

· started a discussion

· 1 Months ago

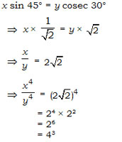
The question is wrong bcoz
Value of cosec30 = 2
But you have written √2 which is the value of sec30

Question:
If x sin 45º = y cosec 30º, then find the value of \(\cfrac{x^4}{y^4}\).
Options:
A) 43
B) 63
C) 23
D) 83
Solution:

Ans: (a)

All Rights Reserved Top Rankers