Discussions
Select Date
Tags:
Harry

· started a discussion

· 1 Months ago

what the fun of 999 at the end of question after 995/999 ...its of no use

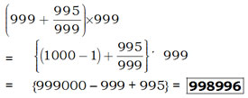
Question:
The value of 999 × \(\cfrac{995}{999}\) 999 is –
Options:
A) 990809
B) 998996
C) 999824
D) 998999
Solution:
Ans: (b)


All Rights Reserved Top Rankers