Discussions
Select Date
Tags:
Manoj Mavi

· started a discussion

· 1 Months ago

plz elaborate the solution of this question

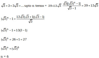
Question:
If \(\sqrt{3}\) + 3 + 3\(\sqrt{3}\) + ... upto n terms = 39 + 13\(\sqrt{3}\), then find the value of n.
Options:
A) 4
B) 9
C) 3
D) 6
Solution:
Ans: (d)


Knowledge Expert

· commented

· 1 Months ago

Hi just apply the formula, Sum of n terms of GP

All Rights Reserved Top Rankers