Discussions
Select Date
Tags:
kesi

· started a discussion

· 1 Months ago

NOT GETTING HOW TO SOLVE PLZ CLARIFY

Question:

If the equations x2 - px + q = 0 and x2 + qx - p = 0 have a common root, then which one of the following will hold true?

Options:
A) p = q
B) p + q = 2
C) p + q = 1
D) p - q = 1
Solution:
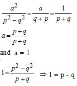
Ans: (d) If a be the common root of the given both equations then, 

a2 - pa + q = 0 and a2 + qa - p = 0


All Rights Reserved Top Rankers