Discussions
Select Date
Tags:
sunil sharma

· started a discussion

· 1 Months ago

suggest some other way to solve this problems

Question:
A cane contains a mixture of two liquids A and B in proportion 7 : 5. When 9 liters of mixture are drawn off and the cane is filled with B, the proportion of A and B becomes 7 : 9. How many liters of liquids A was contained in the cane initially?
Options:
A) 32 liters
B) 34 liters
C) 36 liters
D) None of these
Solution:

Let quantity of A and B are 7x and 5x respectively. 

According to questions

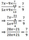
\(\cfrac{7x-9\times\cfrac{7}{12}}{5x-9\times\cfrac{5}{12}+9}=\cfrac{7}{9}\)


⇒ 28x × 9 - 21 × 9 = 20x × 7 + 21 × 7 

⇒ x = \(\cfrac{16×21}{112}\) ⇒ x = 3 

Initial quantity of liquid A in cane = 7 × 3 

= 21 liters

All Rights Reserved Top Rankers