Discussions
Select Date
Tags:
PRASHANT MAURYA

· started a discussion

· 1 Months ago

please give detailed solution

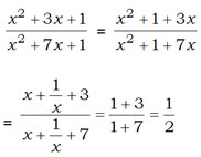
Question:
If x + \(\cfrac{1}{x}\) = 1, (x \(\neq\) 0) then the value of \(\cfrac{x^2 +3 x +1}{x^2 + 7x + 1}\)    is - 
Options:
A) \(\cfrac{1}{2}\)
B) 1
C) 2
D) 0
Solution:

Ans: (a)

All Rights Reserved Top Rankers