Online Courses
Explore
Offline Courses
-
LAW
-
Judiciary
-
Management UG
-
CAT & OMETs
-
CUET
-
Design
-
Architecture
-
UPSC Law Optional
Explore
Test Series
Explore
Resources
-
LAW UG (5 Year LLB)
-
LAW UG (3 Year LLB)
-
LLM + LAW Officer
-
Judiciary
-
Management UG
-
Management PG
-
Design & Arch.
-
NTA CUET [UG]
-
Career Counselling
-
Current Affairs
-
UPSC LAW
Explore
Join Us
Explore
Contact Us
Explore









Knowledge Expert
· commented
· 1 Months ago
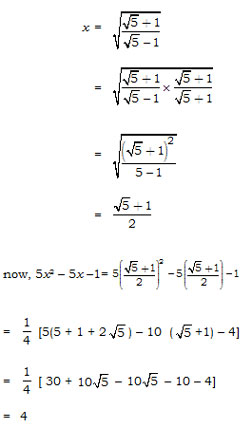
The detailed explanation has been given, please simplify it step by step.
Hope you have a great learning with us!!
All the Best,
Team Toprankers