Discussions
Select Date
Tags:
Rohit

· started a discussion

· 1 Months ago

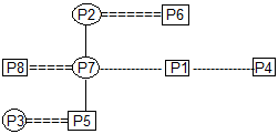
THIS IS ALSO WRONG P5 RELATION IS TOTALYY WORNG

Question:

In a family of a Tiger of three generations, there are eight members – P1, P2, P3, P4, P5, P6, P7 and P8. P3 is P8’s daughter-in-law. P5 is P2’s only grandchild. P4 is one of P5’s two maternal uncles. P7 and P4, one of whom is male, are the children of P2. P6 is the father of P4. P8 is P7’s husband.

Which of the following statements is true?

Options:
A)

There are two males in the second generation.

B)

P1 is the sister-in-law of P8.

C)

There are equal number of males and females in the family.

D)

P3 is the granddaughter in law of P6.

Solution:

Ans: (d)


circle= female

square = male

double line = couple

single line = siblings

All Rights Reserved Top Rankers