Discussions
Select Date
Tags:
ARUN kaushik

· started a discussion

· 1 Months ago

opt.

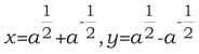
Question:

If then value of (x4 –x2 y2 – 1) + (y4 –x2y2 + 1)  is –

Options:
A)

14 

B)

16 

C)

12 

D)

13 

Solution:

Ans: (d)

  

All Rights Reserved Top Rankers