Discussions
Select Date
Tags:
mohammad zaffar

· started a discussion

· 1 Months ago

please elaborate step by step

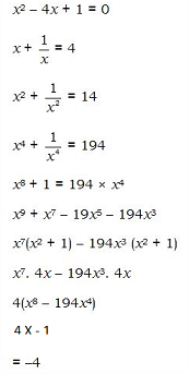
Question:

If x2 – 4x + 1 = 0 find x9 + x7 – 194x5 – 194x3 = ?

Options:
A) –2
B) –4
C) 0
D) 1
Solution:

All Rights Reserved Top Rankers