Discussions
Select Date
Tags:
rajbir yadav

· started a discussion

· 1 Months ago

aise aise kam kiya kro aap.....bahut ache lagte ho

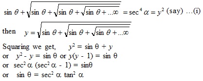
Question:
If \(sin\ \theta +\sqrt[]{sin\ \theta +\sqrt[]{sin\ \theta +\sqrt[]{sin\ \theta +.....\infty}}}=sec^4\ \alpha\) then  sin \(\theta\) is equal to:
Options:
A) sec2 \(\alpha\)
B) tan2 \(\alpha\)
C) sec2\(\alpha\) tan2 \(\alpha\)
D)

cos2 \(\alpha\)

Solution:
Ans: (c)

All Rights Reserved Top Rankers