Discussions
Select Date
Tags:
shavy

· started a discussion

· 1 Months ago

hindi aur english dono me question sahi dala karo..hindi wale me 4 nahi hai....

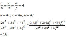
Question:
If  \(\cfrac{a}{b} = \cfrac{c}{d} = \cfrac{e}{f}\) = 4 then \(\cfrac{2a^2 + 3c^2 + 4e^2}{2b^2 + 3d^2 + 4f^2}\) = ?
Options:
A) 8
B) 16
C) 4
D) 18
Solution:
Ans: (b)


Knowledge Expert

· commented

· 1 Months ago

Hi, we resolved the issue.

Team Toprankers

All Rights Reserved Top Rankers