Discussions
Select Date
Tags:
Rakesh Brahmacharimayum

· started a discussion

· 1 Months ago

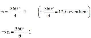
Is the given formula always applicable in all cases?

Question:
Two flat mirrors are placed at an angle of 30º from each other. How many images will be formed of a candle placed in between them? 
Options:
A) 6
B) 11
C) 12
D) Zero
Solution:
Ans : (b)


n = 12 – 1 = 11

All Rights Reserved Top Rankers