Discussions
Select Date
Tags:
anju

· started a discussion

· 1 Months ago

please sir provide detailed solution for this sum

Question:

A passenger sitting in a train of a certain length, which is running with a speed of 

60 km/hr passing through two bridges. He notices  that he crossed the first bridge and second bridge in time intervals which are in the ratio of 7 : 4 respectively . If the length of the first bridge be 280m, then the length of second bridge is-

Options:
A) 490 m
B) 220 m
C) 160 m
D) None of these 
Solution:
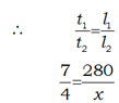
Ans: (c) Note : The length of the train in which passenger is sitting is not considered since we are concerned with the passenger instead of train. So, the length of the bridge will be directly proportional to the time taken by the passenger respectively.


x  = 160 m

All Rights Reserved Top Rankers