Online Courses
Explore
Offline Courses
-
LAW
-
Judiciary
-
Management UG
-
CAT & OMETs
-
CUET
-
Design
-
Architecture
-
UPSC Law Optional
Explore
Test Series
Explore
Resources
-
LAW UG (5 Year LLB)
-
LAW UG (3 Year LLB)
-
LLM + LAW Officer
-
Judiciary
-
Management UG
-
Management PG
-
Design & Arch.
-
NTA CUET [UG]
-
Career Counselling
-
Current Affairs
-
UPSC LAW
Explore
Join Us
Explore
Contact Us
Explore









ravi
· commented
· 1 Months ago
Sahil
· commented
· 1 Months ago
Knowledge Expert
· commented
· 1 Months ago
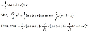
let centre be the point from where perpendiculars are dropped on the respective sides of the equilateral triangle of side a.
there will be 3 triangles
so, area
1/2a(x+y+z)=1/2ax+1/2ay+1/2az
by equating it with actual formulae for area.
we will get the value of x
and substituting it, we can get the area.
regards
Ream TopRankers