Discussions
Select Date
Tags:
Saurabh

· started a discussion

· 1 Months ago

kese

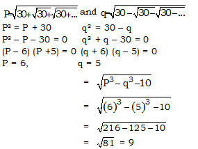
Question:

  

Options:
A)

81

B)

9

C)

1

D)

0

Solution:

Ans: (b)


All Rights Reserved Top Rankers