Discussions
Select Date
Tags:
JATIN JAIN

· started a discussion

· 1 Months ago

dont understand

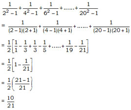
Question:
Find the following sum of below terms.

\(\cfrac{1}{2^2-1}+\cfrac{1}{4^2-1}+\cfrac{1}{6^2-1}+.....+\cfrac{1}{20^2-1}\)

Options:
A) \(\cfrac{9}{10}\)
B) \(\cfrac{19}{21}\)
C) \(\cfrac{10}{11}\)
D) \(\cfrac{10}{21}\)
Solution:

Ans: (D)


Knowledge Expert

· commented

· 1 Months ago

Hi just apply the formula, a^2-b^2 =(a+b)(a-b)

All Rights Reserved Top Rankers