Discussions
Select Date
Tags:
Gaurav

· started a discussion

· 1 Months ago

when x power 6 - 1 is zero, how you made -x^6-1 =0, it should be +x^6-1

Question:

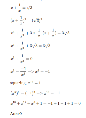
If  \(x+\frac{1}{x}=\sqrt{x}\)   , then x18 + x12 + x6 + 1 is equal to:

Options:
A)

0

B)

1

C)

2

D)

3

Solution:

All Rights Reserved Top Rankers