Discussions
Select Date
Tags:
CHANDRA SHEKHAR PATEL

· started a discussion

· 1 Months ago

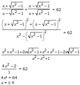
plz, look over the ques.
and the solution you have provided. (+ and -) issue

Question:

  .

Options:
A)


\(\pm 4\)

B)

0

C)

3

D)

16

Solution:

Ans: (a)


Knowledge Expert

· commented

· 1 Months ago

Dear student
We have fixed it.

Keep learning
Team TR

All Rights Reserved Top Rankers