Discussions
Select Date
Tags:
zoya khan

· started a discussion

· 1 Months ago

Cube was not given for. 729

Question:

DIRECTION: What should come in place of the question mark (?) in the following question?


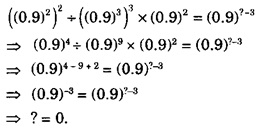
(0.81)2 ÷ (0.729)3 × (0.9)2 = (0.9)?-3

Options:
A)

6

B)

2

C)

4

D)

0

Solution:

Ans: (d)

  

Knowledge Expert

· commented

· 1 Months ago

Dear student,
Given answer is correct.
Keep learning,
Team TR

All Rights Reserved Top Rankers