Discussions
Select Date
Tags:
Sachin goyal

· started a discussion

· 1 Months ago

4 bar krke dekh lia nahi ho rha match

Question:
If ‘×’ means ‘+’, ‘–’ means ‘÷’, ‘÷’ means ‘–’ and ‘+’ means ‘×’, then which of the following equation is correct?
Options:
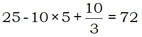
A)
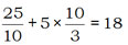
B)
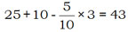
C)
D)
Solution:
Ans: (d) 25 × 10 \(\div\) 5 – 10 + 3 = 43

25 × 2 –10 + 3 = 43

50 – 10 + 3 = 43

50 + 3 –10 = 43

53 –10 = 43

43 = 43

All Rights Reserved Top Rankers