Discussions
Select Date
Tags:
Rajan kashyap

· started a discussion

· 1 Months ago

QUESTION IS WRONG

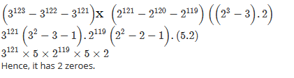
Question:

Find the number of zeroes in expression


Options:
A)

2

B)

1

C)

4

D)

0

Solution:

All Rights Reserved Top Rankers