Discussions
Select Date
Tags:
Mohammad ali

· started a discussion

· 1 Months ago

Did not understand

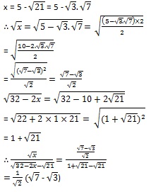
Question:

If x = 5 - \(\sqrt{21}\) , then the value of  \(\cfrac{\sqrt{x}}{\sqrt{32-2x}-\sqrt{21}}\)    is:

Options:
A) \(\cfrac{1}{\sqrt{2}}(7 -\sqrt{3})\)
B) \(\cfrac{1}{\sqrt{2}}(\sqrt{3}-\sqrt{7 })\)
C) \(\cfrac{1}{\sqrt{2}}(\sqrt{7}-\sqrt{3 })\)
D) \(\cfrac{1}{\sqrt{2}}(\sqrt{7}+\sqrt{3 })\)
Solution:

All Rights Reserved Top Rankers