Discussions
Select Date
Tags:
Jatin singh

· started a discussion

· 1 Months ago

Please provide the explanation

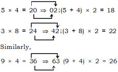
Question:

DIRECTIONS: Find the missing number from the given responses.

  

Options:
A)

117

B)

36

C)

63

D)

26

Solution:

Ans:(c)


All Rights Reserved Top Rankers