Discussions
Select Date
Tags:
adarsh gautam

· started a discussion

· 1 Months ago

please explain the question in detail

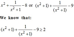
Question:

The minimum value of x2 + \(\cfrac{1}{x^2+1}-8\) is:

Options:
A) –7
B) 0
C) –9
D) Can’t be determined 
Solution:
Ans: (a) 


Thus, minimum value = 2 – 9 = –7

All Rights Reserved Top Rankers