Discussions
Select Date
Tags:
Saurabh

· started a discussion

· 1 Months ago

bolo

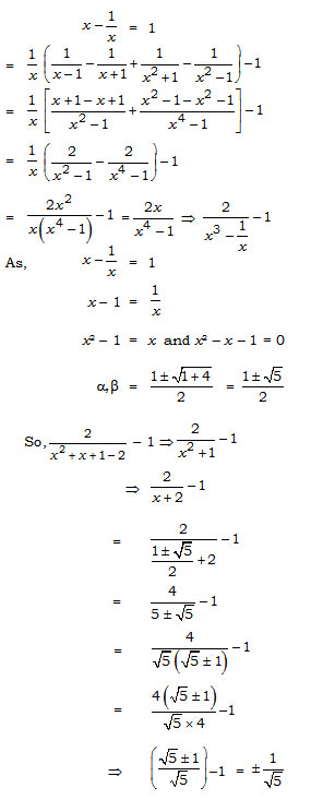
Question:

  

Options:
A)

  

B)

  

C)

  

D)

  

Solution:

Ans: (b)


All Rights Reserved Top Rankers