Discussions
Select Date
Tags:
Rinku Meena

· started a discussion

· 1 Months ago

printing error in hindi..please edit

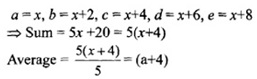
Question:
If a, b, c, d and e are five consecutive odd numbers .Their average is:
Options:
A) 5(a + 4)
B) \(\cfrac{abcde}{5}\)
C) 5(a+b+c+d+e)
D) (a+4)
Solution:

All Rights Reserved Top Rankers