Discussions
Select Date
Tags:
saajansingh200@gmail.com

· started a discussion

· 1 Months ago

PLZ CORRECT THE QUESTION

Question:
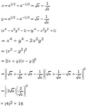
If \(x=a^\cfrac{1}{2}+a^{-\cfrac{1}{2}}, \ \ y = a^\cfrac{1}{2}\ - a^{-\cfrac{1}{2}}\) , then value of  (x4 - x2 y2 - 1) + (y4 - x2y2 + 1) is –
Options:
A) 14
B) 16
C) 12
D) 13
Solution:

Ans: (B)


All Rights Reserved Top Rankers