Discussions
Select Date
Tags:
Shajeer Shamras

· started a discussion

· 1 Months ago

final solution "=" is missing

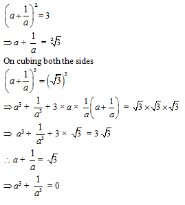
Question:

If \(\left (a + \cfrac {1}{a} \right )^2\) = 3, then the value of a3 +  \(\cfrac{1}{a^3}\)  is :

Options:
A) 0
B) 1
C) 2
D) 6
Solution:
Ans: (a)  


Knowledge Expert

· commented

· 1 Months ago

hi, we fixed it.......

All Rights Reserved Top Rankers