Discussions
Select Date
Tags:
Ramandeep singh

· started a discussion

· 1 Months ago

Keep repeating mistakes... great learning with toprankers

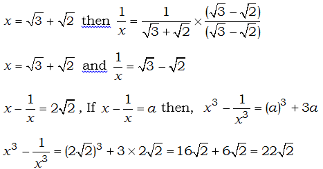
Question:

If x =  3+2   , find the value of  x3 - 1/x3    = ?

Options:
A)

102    

B)

142    

C)

222    

D)

82    

Solution:

Ans: (c)

  

All Rights Reserved Top Rankers