Discussions
Select Date
Tags:
MANJEET

· started a discussion

· 1 Months ago

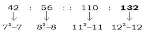
42+14=56 so 110+14=124 so change option either one

Question:
DIRECTIONS: Select the related letters/ word/ number from the given alternatives.
42 : 56 : : 110 : ?
Options:
A) 132
B) 136
C) 124
D) 148
Solution:
Ans: (a) 


All Rights Reserved Top Rankers