Discussions
Select Date
Tags:
jitendra

· started a discussion

· 1 Months ago

SOLUTION KON DEGA MOHAN

Question:
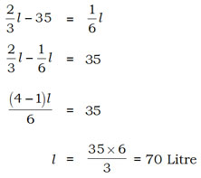
A drum of kerosene is \(\cfrac{2}{3}\) full. When 35 litres of kerosene is drawn from it, it remains \(\cfrac{1}{6}\) full. The capacity of the drum is – 
Options:
A) 66.5 Litre
B) 70 Litre
C) 120 Litre
D) 135 Litre
Solution:
Ans: (b)


All Rights Reserved Top Rankers