Discussions
Select Date
Tags:
SHASHI KUMAR

· started a discussion

· 1 Months ago

please give the detail of answer

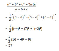
Question:
If (a – b) = –4, (b – c) = 7 and (c – a) = –3, then find the value of \(\cfrac{a^3 + b^3 + c^3 -3abc}{a+b+ c}\).
Options:
A) 0
B) 37
C) 1
D) 74
Solution:
Ans: (b)


All Rights Reserved Top Rankers