Discussions
Select Date
Tags:
Uday shankar chauhan

· started a discussion

· 1 Months ago

in place of cube put the square

Question:
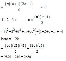
The value of (12 + 22 + 33 + ... + 20) - (1 + 2 + 3 +... + 20) is equal to?
Options:
A) 5320
B) 4200
C) 3150
D) 2660
Solution:

Sum of square of n cons ecutive natural numbers = 12 + 22+ 22+ ..... n2


All Rights Reserved Top Rankers