Discussions
Select Date
Tags:
sneha

· started a discussion

· 1 Months ago

the question says the aeroplane is vertically above somewhere in between two consecutive km milestone .It implies distance between those two point on ground is 1km. eq x+y=1 , h/x=root 3 , h/y = 1/root3.

Question:
From an aeroplane just over a straight road, the angles of depression of two consecutive kilometer stones situated at opposite sides of the aeroplane were found to be 60° and 30° respectively. The height (in km) of the aeroplane from the road at that instant is:
Options:
A) \(\sqrt[]{3}\)
B) \(\cfrac{\sqrt[]{3}}{2}\)
C) \(\cfrac{\sqrt[]{3}}{3}\)
D) \(\cfrac{\sqrt[]{3}}{4}\)
Solution:
Ans: (d)


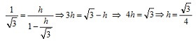
Let AD = x \(\Rightarrow\) BD = 1 – x

In \(\triangle\)ADC,

tan 60o  =\(\cfrac{h}{x}\Rightarrow x=\cfrac{h}{\sqrt{3}}\)     .........(i)

In \(\triangle\)BCD,

tan 30o = \(\cfrac{h}{1-x}\)              .........(ii)

Putting the value of x into equ. (ii),


All Rights Reserved Top Rankers