Discussions
Select Date
Tags:
Ashish Kumar

· started a discussion

· 1 Months ago

question not properly written. it should be- Square root of the two numbers product.

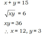
Question:
The average of two numbers is 7.5. The product of the two numbers' square-root is 6. The two numbers are –
Options:
A) 13 and 12
B) 9 and 6
C) 10 and 5
D) 12 and 3
Solution:
Ans: (d)


All Rights Reserved Top Rankers