Discussions
Select Date
Tags:
Suresh chand meena

· started a discussion

· 1 Months ago

Solution not open

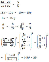
Question:

  

Options:
A)

125    

B)

5

C)

15    

D)

25

Solution:

Ans: (d)


All Rights Reserved Top Rankers