Discussions
Select Date
Tags:
krishna

· started a discussion

· 1 Months ago

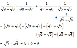
As per calculation, you have subtracted under root 4 from under root 9 and yields 5. Won't be it 1 instead?

Question:
\(\cfrac{1}{\sqrt{9} - \sqrt{8}} \ - \cfrac{1}{\sqrt{8} - \ \sqrt{7}} + \ \cfrac{1}{\sqrt{7} - \ \sqrt{6}} - \ \cfrac{1}{\sqrt{6} - \ \sqrt{5}} + \ \cfrac{1}{\sqrt{5} - \ \sqrt{4}}\ \ = \ ? \)
Options:
A) 0
B) 1
C) 5
D) \(\cfrac{1}{3}\)
Solution:
Ans: (c)


All Rights Reserved Top Rankers