Discussions
Select Date
Tags:
Saurabh Pandey

· started a discussion

· 1 Months ago

solving the question we get tan17.sin17 then put the value of these..

Question:
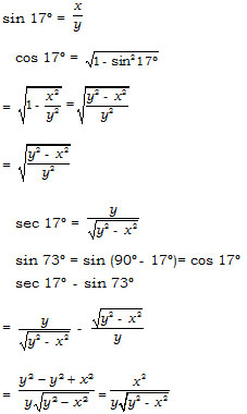
If sin 17o = \(\cfrac{x}{y}\), then the value of (sec 17o - sin 73o) is:
Options:
A) \(\cfrac{y^2}{x\sqrt{y^2-x^2}}\)
B) \(\cfrac{x^2}{y\sqrt{y^2-x^2}}\)
C) \(\cfrac{x^2}{y\sqrt{x^2-y^2}}\)
D) \(\cfrac{y^2}{x\sqrt{x^2-y^2}}\)
Solution:

Ans: (b)

All Rights Reserved Top Rankers