Discussions
Select Date
Tags:
Muskan Tanwar

· started a discussion

· 1 Months ago

solution

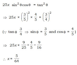
Question:
If tan\(\theta\) = \(\cfrac{3}{4}\) and 0 < \(\theta\) < \(\cfrac{\pi}{2}\) and 25x sin2\(\theta\)cos\(\theta\) = tan2\(\theta\), then the value of x is ?
Options:
A) \(\cfrac{5}{64}\)
B) \(\cfrac{7}{64}\)
C) \(\cfrac{9}{64}\)
D) \(\cfrac{3}{64}\)
Solution:
Ans: (a)


All Rights Reserved Top Rankers