Discussions
Select Date
Tags:
Manoj Meena

· started a discussion

· 1 Months ago

BAND THIS MONEY MAKING SCHEME.
WOOOOOOOOOOOOO!!!!!!!!!!!!!!!!

Question:
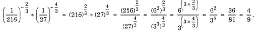
\(\left ( \cfrac {1}{126} \right )^{-\cfrac{2}{3}}\div \left ( \cfrac {1}{27} \right )^{-\cfrac{4}{3}}=?\)
Options:
A) 3/4
B) 4/3
C) 4/9
D) 2/5
Solution:
Ans: (c)

All Rights Reserved Top Rankers