Discussions
Select Date
Tags:
yash

· started a discussion

· 1 Months ago

Plz provide

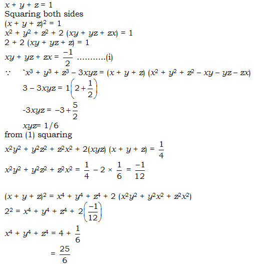
Question:
If x + y + z = 1, x2 + y2 + z2 = 2, x3 + y3 + z3 = 3 then find the value of x4 + y4 + z4
Options:
A) 25/6
B) 4
C) 6
D) 11/3
Solution:
Ans : (a)


All Rights Reserved Top Rankers