Discussions
Select Date
Tags:
dcd

· started a discussion

· 1 Months ago

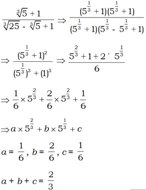
please provide solutionn

Question:

Options:
A)

0

B)

1/3

C)

2/3

D)

3

Solution:

Ans: (c)


All Rights Reserved Top Rankers