Discussions
Select Date
Tags:
saravanan

· started a discussion

· 1 Months ago

x2+1/x2= 2+16/25

Question:
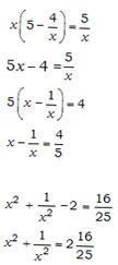
If  \(x\left (5- \cfrac {4}{x} \right )=\cfrac{5}{x}\), then the value of \(\left ( x^2+\cfrac {1}{x^2} \right )\)  is –
Options:
A) \(2\cfrac{16}{25}\)
B) \(3\cfrac{16}{25}\)
C) \(2\cfrac{9}{29}\)
D) \(3\cfrac{9}{29}\)
Solution:

Ans: (A)


Knowledge Expert

· commented

· 1 Months ago

Please check same answer has been marked.

Team Toprankers

All Rights Reserved Top Rankers