Discussions
Select Date
Tags:
Harsh

· started a discussion

· 1 Months ago

good one

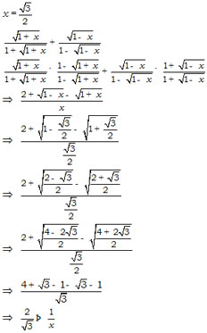
Question:
.
Options:
A) 0
B) \(\sqrt{3}\)
C) x
D) \(\cfrac{1}{x}\)
Solution:

Ans: (d) 


Knowledge Expert

· commented

· 1 Months ago

Dear Student,
Thanks for your support.
Keep learning with us.

Thanks and Regards
Team TR

All Rights Reserved Top Rankers